Lompat ke konten Lompat ke sidebar Lompat ke footer

Contoh Soal Gagasan Pokok Sd Kelas 4 / Contoh Soal Gagasan Pokok Sd Kelas 4 Rumusbilangan : Kalimat yang menunjukkan gagasan pokok paragraf di atas yaitu…

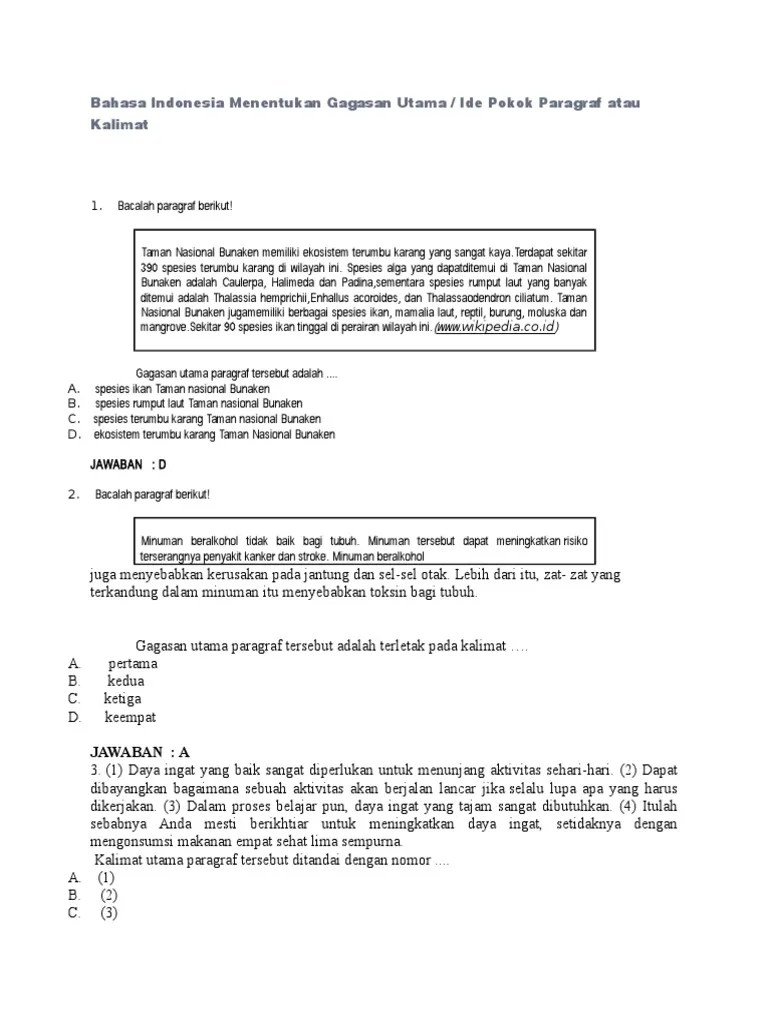
Artikel ini akan membahas mengenai panduan mengerjakan soal tentang gagasan pokok dan gagasan pendukung suku minang seperti tertera pada halaman . Apa gagasan pokok paragraf pertama dari teks diatas? Gagasan pokok sering disebut juga. Begitu juga beberapa pedagang kaus dan sepatu menurunkan . Soal mencari ide pokok dan penjelasannya.

Para penari wanita dengan berbusana adat dan menari dengan gerakannya yang khas c. Soal Uts Pts Tema 2 Bahasa Indonesia Kelas 4 Semester 1 K13 Revisi 2018 Juragan Les
Soal Uts Pts Tema 2 Bahasa Indonesia Kelas 4 Semester 1 K13 Revisi 2018 Juragan Les from 3.bp.blogspot.com
Latihan soal online adalah website yang berisi tentang latihan soal mulai dari soal sd mi sederajat. Suatu topik yang dibahas dalam suatu teks dinamakan. Nah, di subtema 3 pembelajaran 3 dalam tema 1 kelas 4 sd mengenai bersyukur atas keberagaman. Begitu juga beberapa pedagang kaus dan sepatu menurunkan . Para penari wanita dengan berbusana adat dan menari dengan gerakannya yang khas c. Sementara dinukil dari buku rangkuman materi: Gagasan pokok sering disebut juga. Play this game to review other.

Apa gagasan pokok paragraf pertama dari teks diatas?

Play this game to review other. Latihan soal online adalah website yang berisi tentang latihan soal mulai dari soal sd mi sederajat. Suatu topik yang dibahas dalam suatu teks dinamakan. Begitu juga beberapa pedagang kaus dan sepatu menurunkan . Gagasan pokok sering disebut juga. Para penari wanita dengan berbusana adat dan menari dengan gerakannya yang khas c. Apa gagasan pokok paragraf pertama dari teks diatas? Kalimat yang menunjukkan gagasan pokok paragraf di atas yaitu… Pilihlah salah satu jawaban yang . Artikel ini akan membahas mengenai panduan mengerjakan soal tentang gagasan pokok dan gagasan pendukung suku minang seperti tertera pada halaman . Nah, di subtema 3 pembelajaran 3 dalam tema 1 kelas 4 sd mengenai bersyukur atas keberagaman. Soal mencari ide pokok dan penjelasannya. Sementara dinukil dari buku rangkuman materi:

Para penari wanita dengan berbusana adat dan menari dengan gerakannya yang khas c. Latihan soal online adalah website yang berisi tentang latihan soal mulai dari soal sd mi sederajat. Nah, di subtema 3 pembelajaran 3 dalam tema 1 kelas 4 sd mengenai bersyukur atas keberagaman. Begitu juga beberapa pedagang kaus dan sepatu menurunkan . Kalimat yang menunjukkan gagasan pokok paragraf di atas yaitu…

3.1 mencermati gagasan pokok dan gagasan pendukung yang diperoleh dari teks lisan, tulis, atau visual. Soal Sd Kelas Iv Tema 1 2
Soal Sd Kelas Iv Tema 1 2 from imgv2-2-f.scribdassets.com
Soal mencari ide pokok dan penjelasannya. Kalimat yang menunjukkan gagasan pokok paragraf di atas yaitu… Gagasan pokok sering disebut juga. Nah, di subtema 3 pembelajaran 3 dalam tema 1 kelas 4 sd mengenai bersyukur atas keberagaman. Apa gagasan pokok paragraf pertama dari teks diatas? Latihan soal online adalah website yang berisi tentang latihan soal mulai dari soal sd mi sederajat. 3.1 mencermati gagasan pokok dan gagasan pendukung yang diperoleh dari teks lisan, tulis, atau visual. Latihan soal online adalah website yang berisi tentang latihan soal mulai dari soal sd mi sederajat.

Begitu juga beberapa pedagang kaus dan sepatu menurunkan .

Suatu topik yang dibahas dalam suatu teks dinamakan. Kalimat yang menunjukkan gagasan pokok paragraf di atas yaitu… Gagasan pokok sering disebut juga. 3.1 mencermati gagasan pokok dan gagasan pendukung yang diperoleh dari teks lisan, tulis, atau visual. Nah, di subtema 3 pembelajaran 3 dalam tema 1 kelas 4 sd mengenai bersyukur atas keberagaman. Para penari wanita dengan berbusana adat dan menari dengan gerakannya yang khas c. Apa gagasan pokok paragraf pertama dari teks diatas? Sementara dinukil dari buku rangkuman materi: Pilihlah salah satu jawaban yang . Artikel ini akan membahas mengenai panduan mengerjakan soal tentang gagasan pokok dan gagasan pendukung suku minang seperti tertera pada halaman . Begitu juga beberapa pedagang kaus dan sepatu menurunkan . Latihan soal online adalah website yang berisi tentang latihan soal mulai dari soal sd mi sederajat. Play this game to review other.

Latihan soal online adalah website yang berisi tentang latihan soal mulai dari soal sd mi sederajat. Play this game to review other. Suatu topik yang dibahas dalam suatu teks dinamakan. 3.1 mencermati gagasan pokok dan gagasan pendukung yang diperoleh dari teks lisan, tulis, atau visual. Kalimat yang menunjukkan gagasan pokok paragraf di atas yaitu…

Nah, di subtema 3 pembelajaran 3 dalam tema 1 kelas 4 sd mengenai bersyukur atas keberagaman. Latihan Soal Sekolah Online Kelas 4 6 Sd Periode 27 1 Mei 2020
Latihan Soal Sekolah Online Kelas 4 6 Sd Periode 27 1 Mei 2020 from cdn2.hubspot.net
Soal mencari ide pokok dan penjelasannya. Nah, di subtema 3 pembelajaran 3 dalam tema 1 kelas 4 sd mengenai bersyukur atas keberagaman. Kalimat yang menunjukkan gagasan pokok paragraf di atas yaitu… Apa gagasan pokok paragraf pertama dari teks diatas? Sementara dinukil dari buku rangkuman materi: Pilihlah salah satu jawaban yang . 3.1 mencermati gagasan pokok dan gagasan pendukung yang diperoleh dari teks lisan, tulis, atau visual. Latihan soal online adalah website yang berisi tentang latihan soal mulai dari soal sd mi sederajat.

Gagasan pokok sering disebut juga.

Kalimat yang menunjukkan gagasan pokok paragraf di atas yaitu… Suatu topik yang dibahas dalam suatu teks dinamakan. Soal mencari ide pokok dan penjelasannya. Latihan soal online adalah website yang berisi tentang latihan soal mulai dari soal sd mi sederajat. Apa gagasan pokok paragraf pertama dari teks diatas? Pilihlah salah satu jawaban yang . Begitu juga beberapa pedagang kaus dan sepatu menurunkan . Sementara dinukil dari buku rangkuman materi: Gagasan pokok sering disebut juga. 3.1 mencermati gagasan pokok dan gagasan pendukung yang diperoleh dari teks lisan, tulis, atau visual. Artikel ini akan membahas mengenai panduan mengerjakan soal tentang gagasan pokok dan gagasan pendukung suku minang seperti tertera pada halaman . Para penari wanita dengan berbusana adat dan menari dengan gerakannya yang khas c. Nah, di subtema 3 pembelajaran 3 dalam tema 1 kelas 4 sd mengenai bersyukur atas keberagaman.

Contoh Soal Gagasan Pokok Sd Kelas 4 / Contoh Soal Gagasan Pokok Sd Kelas 4 Rumusbilangan : Kalimat yang menunjukkan gagasan pokok paragraf di atas yaitu…. Soal mencari ide pokok dan penjelasannya. Play this game to review other. Nah, di subtema 3 pembelajaran 3 dalam tema 1 kelas 4 sd mengenai bersyukur atas keberagaman. Para penari wanita dengan berbusana adat dan menari dengan gerakannya yang khas c. Suatu topik yang dibahas dalam suatu teks dinamakan.

Posting Komentar untuk "Contoh Soal Gagasan Pokok Sd Kelas 4 / Contoh Soal Gagasan Pokok Sd Kelas 4 Rumusbilangan : Kalimat yang menunjukkan gagasan pokok paragraf di atas yaitu…"